谷歌入门题——翻转二叉树
原题
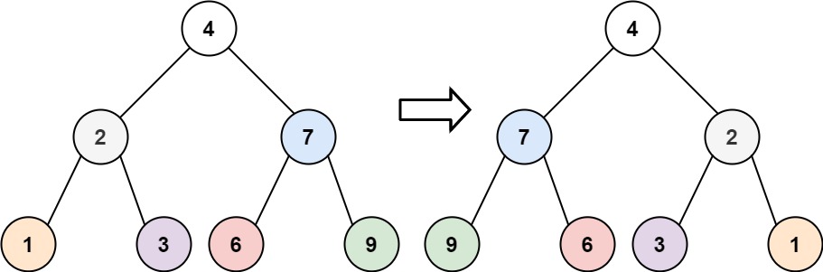
翻转一棵二叉树。
示例:

1 | 输入: root = [4,2,7,1,3,6,9] |
梗
众所周知,字越少,事越大。题越短,梗越大。
翻转一棵二叉树。一看题目就知道是一道非常经典的题了。
为什么说梗越大呢。Max Howell 大神在推特上吐槽自己因为没写出翻转二叉树,被谷歌拒了。

而就在第二天 LeetCode 就加入了这道题,并把难度定位 Easy。


解题思路
递归法。
- 自顶向下
- 自底向上
递归的题只可意会,不可言传,看代码就完了。
代码
自顶向下
1 | public static TreeNode invertTree(TreeNode root) { |
自底向上
1 | public static TreeNode invertTree(TreeNode root) { |
小结
第一次做树的题,这类题十有八九会用到递归,还不是很熟悉,看着代码也要想半天才想明白。以上两种方法分别是前序遍历和后序遍历,都属于 DFS (深度优先搜索),看解答还可以用层序遍历的方式遍历二叉树,也就是 BFS (广度优先搜索),到时候做到这两个算法了再回来看吧。
本博客所有文章除特别声明外,均采用 CC BY-NC-SA 4.0 许可协议。转载请注明来源 ImCaO's Blog!
评论




